みたにっき@はてな

三谷純のブログ

2017-05-01から1ヶ月間の記事一覧

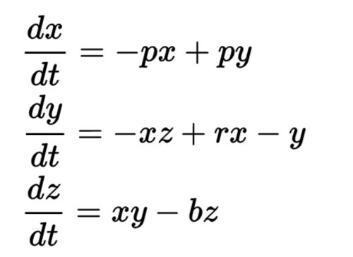
ローレンツ アトラクタ

この二重振り子の話をTwitterで見かけて、面白いなぁと思いました。 Haskellで二重振り子のシミュレーションを書いた。実はこの振り子50本あって初期値を1兆分の1ぐらいずらしてあるので途中からめちゃくちゃ分岐する pic.twitter.com/3dh4Metcpj — lotz (@l…

日仏フォーラム「人工知能は社会をどのように変えるのか?」

六本木アカデミーヒルズで開催された、日仏フォーラム「人工知能は社会をどのように変えるのか?」 http://www.institutfrancais.jp/blog/2017/05/16/ai/ に参加し、各界で活躍されている方々のパネルディスカッションを聴講してきました。 人工知能を活用し…

アニメ「正解するカド」に登場する球体折り紙(2)

今シーズンのアニメで話題になっている「正解するカド」に登場する球形の折り紙について、2つ前のエントリで紹介記事を書きました。 junmitani.hatenablog.com 球体の折り紙が実際に作れることと、その型紙をTwitterで紹介したところ、多くの方に関心をもっ…

肩の力を抜いた働き方

今朝は9amから、アメリカの研究者とSkype Meetingしましょう、という予定を組んでいてたので、その5分前にはPC上でSkypeを起動してスタンバイしていたのですが、「今、移動中なので、ちょっと無理。次はいつだったら大丈夫?」というメッセージが届いて、今…

アニメ「正解するカド」に登場する球体折り紙

東映のアニメ「正解するカド」が話題となっているようです。 seikaisuru-kado.com 私もAmazon プライムで初回から見てきていて、そのストーリー展開の面白さから、毎回の放映を楽しみにしています。 フラクタル図形がメインに位置づけられていて、幾何学好き…

最近観た映画

ここ最近、移動中の飛行機内での鑑賞を含めると、「パッセンジャー」「モアナと伝説の海」「ゴースト・イン・ザ・シェル」「ラ・ラ・ランド」と、複数の映画を観る機会がありました。 いずれも現在上映中で、話題の新作ばかりということで、映像の美しさから…

つくばエキスポセンターでの折り紙ワークショップ

本日、つくばエキスポセンターにて「ふしぎな立体折り紙を折ってみよう」というタイトルでのワークショップを開催しました。 http://www.expocenter.or.jp/?post_type=event&p=26860 午前と午後の2回の開催で、それぞれ1時間。定員は20名で事前申込制。参加…

つくば市近辺の穴場スポット:小貝川スポーツ公園

つくば市の小貝川スポーツ公園。 その一角に、滑らかに舗装されたスケートコースがあるのですが、あまり知られていないようで、いつ行っても閑散としています。 ゴールデンウィークなのに、写真のような感じ。全然人の気配がありません。 普通の公園だと敬遠…

空間曲線での折り(2)

昨日に、1つの曲線を折るだけで面白い形が作れたので、今日も1つ作ってみました。 造形的には、昨日のものほど意外さは無いですが、1枚の紙、1つの曲線だけでも、いろいろな表情を表現できそうな気がします。 (写真の撮り方次第という気もしますが。) 少し…

空間曲線での折り

今日は、本日作った折紙作品の紹介だけで済ませてしまいます。 A4サイズの長方形に、曲線を1本だけ描いて、その線を折って作った造形です。 きちんと設計したわけではないです。 紙と遊んでいると、ふと面白いなという形に出くわすことがあります。 そんなア…

学会プログラム委員の仕事

本日は、VCシンポジウム(Visual Computing / グラフィクスとCAD 合同シンポジウム 2017 )のプログラム委員会による採録論文検討会に参加してきました。 場所は東京大学の本郷キャンパスなので、筑波からだと、なかなか移動に時間がかかります。 このVCシン…